Skip to content

本文由 简悦 SimpRead 转码, 原文地址 mp.weixin.qq.com

很多同学用react开发的时候,真正用到的Reactapi少之又少,基本停留在Component,React.memo等层面, 实际react源码中,暴露出来的方法并不少,只是我们平时很少用。但是React暴露出这么多api并非没有用,想要玩转react, 就要明白这些API究竟是干什么的,应用场景是什么,今天就让我们从reactreact-dom, 一次性把react生产环境的暴露api复习个遍 (涵盖 90%+)。

我们把react,API,分为组件类工具类hooks,再加上 react-dom  ,一共四大方向,分别加以探讨。

为了能让屏幕前的你,更明白api, 我是绞尽脑汁, 本文的每一个api基本都会出一个demo演示效果, 弥补一下天书般的react文档😂😂😂,还有就是我对api基本概念的理解。

老规矩,我们带着疑问开始今天的阅读 (自测掌握程度)?

  • 1 react暴露的api有哪些,该如何使用?

  • 2 react提供了哪些自测性能的手段?

  • 3  ref既然不能用在函数组件中,那么父组件如何控制函数子组件内的state和方法?

  • 4 createElementcloneElement有什么区别,应用场景是什么?

  • 5 react内置的children遍历方法,和数组方法, 有什么区别?

  • 6 react怎么将子元素渲染到父元素之外的指定容器中?

  • ...

我相信读完这篇文章,这些问题全都会迎刃而解?

组件类

组件类,详细分的话有三种类,第一类说白了就是我平时用于继承的基类组件Component,PureComponent, 还有就是react提供的内置的组件,比如Fragment,StrictMode, 另一部分就是高阶组件forwardRef,memo等。

comp.jpg

Component

Componentclass组件的根基。类组件一切始于Component。对于React.Component使用,我们没有什么好讲的。我们这里重点研究一下reactComponent做了些什么。

react/src/ReactBaseClasses.js

function Component(props, context, updater) {  this.props = props;  this.context = context;  this.refs = emptyObject;  this.updater = updater || ReactNoopUpdateQueue;}

这就是Component函数,其中updater对象上保存着更新组件的方法。

我们声明的类组件是什么时候以何种形式被实例化的呢?

react-reconciler/src/ReactFiberClassComponent.js

constructClassInstance

function constructClassInstance(    workInProgress,    ctor,    props){   const instance = new ctor(props, context);    instance.updater = {        isMounted,        enqueueSetState(){            /* setState 触发这里面的逻辑 */        },        enqueueReplaceState(){},        enqueueForceUpdate(){            /* forceUpdate 触发这里的逻辑 */        }    }}

对于Componentreact 处理逻辑还是很简单的,实例化我们类组件,然后赋值updater对象,负责组件的更新。然后在组件各个阶段,执行类组件的render函数,和对应的生命周期函数就可以了。

PureComponent

PureComponentComponent用法,差不多一样,唯一不同的是,纯组件PureComponent会浅比较,propsstate是否相同,来决定是否重新渲染组件。所以一般用于性能调优,减少 render 次数。

什么叫做浅比较,我这里举个列子:

class Index extends React.PureComponent{    constructor(props){        super(props)        this.state={           data:{              name:'alien',              age:28           }        }    }    handerClick= () =>{        const { data } = this.state        data.age++        this.setState({ data })    }    render(){        const { data } = this.state        return <div class >            <div> 你的姓名是: { data.name } </div>            <div> 年龄: { data.age  }</div>            <button onClick={ this.handerClick } >age++</button>        </div>    </div>    }}

点击按钮,没有任何反应,因为PureComponent会比较两次data对象,都指向同一个data, 没有发生改变,所以不更新视图。

解决这个问题很简单,只需要在handerClick事件中这么写:

this.setState({ data:{...data} })

浅拷贝就能根本解决问题。

memo

React.memoPureComponent作用类似,可以用作性能优化,React.memo 是高阶组件,函数组件和类组件都可以使用, 和区别PureComponentReact.memo只能对props的情况确定是否渲染,而PureComponent是针对propsstate

React.memo 接受两个参数,第一个参数原始组件本身,第二个参数,可以根据一次更新中props是否相同决定原始组件是否重新渲染。是一个返回布尔值,true 证明组件无须重新渲染,false证明组件需要重新渲染,这个和类组件中的shouldComponentUpdate()正好相反 。

**React.memo: 第二个参数 返回 true 组件不渲染 , 返回 false 组件重新渲染。**shouldComponentUpdate: 返回 true 组件渲染 , 返回 false 组件不渲染。

解析来我们做一个场景,控制组件在仅此一个props数字变量,一定范围渲染。

例子🌰:

控制 props 中的 number

  • 1 只有 number 更改,组件渲染。

  • 2 只有 number 小于 5 ,组件渲染。

function TextMemo(props){    console.log('子组件渲染')    if(props)    return <div>hello,world</div> }const controlIsRender = (pre,next)=>{   if(pre.number === next.number  ){ // number 不改变 ,不渲染组件       return true    }else if(pre.number !== next.number && next.number > 5 ) { // number 改变 ,但值大于5 , 不渲染组件       return true   }else { // 否则渲染组件       return false   }}const NewTexMemo = memo(TextMemo,controlIsRender)class Index extends React.Component{    constructor(props){        super(props)        this.state={            number:1,            num:1        }    }    render(){        const { num , number }  = this.state        return <div>            <div>                改变num:当前值 { num }                  <button onClick={ ()=>this.setState({ num:num + 1 }) } >num++</button>                <button onClick={ ()=>this.setState({ num:num - 1 }) } >num--</button>              </div>            <div>                改变number: 当前值 { number }                 <button onClick={ ()=>this.setState({ number:number + 1 }) } > number ++</button>                <button onClick={ ()=>this.setState({ number:number - 1 }) } > number -- </button>              </div>            <NewTexMemo num={ num } number={number}  />        </div>    }}

完美达到了效果,React.memo一定程度上,可以等价于组件外部的shouldComponentUpdate ,用于拦截新老props,确定组件是否更新。

forwardRef

官网对forwardRef的概念和用法很笼统,也没有给定一个具体的案例。很多同学不知道 forwardRef具体怎么用,下面我结合具体例子给大家讲解forwardRef应用场景。

1 转发引入 Ref

这个场景实际很简单,比如父组件想获取孙组件,某一个dom元素。这种隔代ref获取引用,就需要forwardRef来助力。

function Son (props){    const { grandRef } = props    return <div>        <div> i am alien </div>        <span ref={grandRef} >这个是想要获取元素</span>    </div>}class Father extends React.Component{    constructor(props){        super(props)    }    render(){        return <div>            <Son grandRef={this.props.grandRef}  />        </div>    }}const NewFather = React.forwardRef((props,ref)=><Father grandRef={ref}  {...props} />  )class GrandFather extends React.Component{    constructor(props){        super(props)    }    node = null     componentDidMount(){        console.log(this.node)    }    render(){        return <div>            <NewFather ref={(node)=> this.node = node } />        </div>    }}

效果

forwaedRef.jpg

react不允许ref通过props传递,因为组件上已经有 ref 这个属性, 在组件调和过程中,已经被特殊处理,forwardRef出现就是解决这个问题,把ref转发到自定义的forwardRef定义的属性上,让ref,可以通过props传递。

2 高阶组件转发 Ref

一文吃透hoc文章中讲到,由于属性代理的hoc,被包裹一层,所以如果是类组件,是通过ref拿不到原始组件的实例的,不过我们可以通过forWardRef转发ref

function HOC(Component){  class Wrap extends React.Component{     render(){        const { forwardedRef ,...otherprops  } = this.props        return <Component ref={forwardedRef}  {...otherprops}  />     }  }  return  React.forwardRef((props,ref)=> <Wrap forwardedRef={ref} {...props} /> ) }class Index extends React.Component{  componentDidMount(){      console.log(666)  }  render(){    return <div>hello,world</div>  }}const HocIndex =  HOC(Index,true)export default ()=>{  const node = useRef(null)  useEffect(()=>{     /* 就可以跨层级,捕获到 Index 组件的实例了 */     console.log(node.current.componentDidMount)  },[])  return <div><HocIndex ref={node}  /></div>}

如上,解决了高阶组件引入Ref的问题。

lazy

React.lazy 和 Suspense 技术还不支持服务端渲染。如果你想要在使用服务端渲染的应用中使用,我们推荐 Loadable Components 这个库

React.lazySuspense配合一起用,能够有动态加载组件效果。React.lazy 接受一个函数,这个函数需要动态调用 import()。它必须返回一个 Promise ,该 Promise 需要 resolve 一个 default exportReact 组件。

我们模拟一个动态加载的场景。

父组件

import Test from './comTest'const LazyComponent =  React.lazy(()=> new Promise((resolve)=>{      setTimeout(()=>{          resolve({              default: ()=> <Test />          })      },2000)}))class index extends React.Component{       render(){        return <div class  style={ { marginTop :'50px' } }   >           <React.Suspense fallback={ <div class ><SyncOutlined  spin  /></div> } >               <LazyComponent />           </React.Suspense>        </div>    }}

我们用setTimeout来模拟import异步引入效果。Test

class Test extends React.Component{    constructor(props){        super(props)    }    componentDidMount(){        console.log('--componentDidMount--')    }    render(){        return <div>            <img src={alien}  class />        </div>    }}

效果

lazy.gif

Suspense

何为Suspense, Suspense 让组件 “等待” 某个异步操作,直到该异步操作结束即可渲染。

用于数据获取的 Suspense 是一个新特性,你可以使用 <Suspense> 以声明的方式来 “等待” 任何内容,包括数据。本文重点介绍它在数据获取的用例,它也可以用于等待图像、脚本或其他异步的操作。

上面讲到高阶组件lazy时候,已经用 lazy + Suspense模式,构建了异步渲染组件。我们看一下官网文档中的案例:

const ProfilePage = React.lazy(() => import('./ProfilePage')); // 懒加载<Suspense fallback={<Spinner />}>  <ProfilePage /></Suspense>

Fragment

react不允许一个组件返回多个节点元素,比如说如下情况

render(){    return <li> 🍎🍎🍎 </li>           <li> 🍌🍌🍌 </li>           <li> 🍇🍇🍇 </li>}

如果我们想解决这个情况,很简单,只需要在外层套一个容器元素。

render(){    return <div>           <li> 🍎🍎🍎 </li>           <li> 🍌🍌🍌 </li>           <li> 🍇🍇🍇 </li>    </div>}

但是我们不期望,增加额外的dom节点,所以react提供Fragment碎片概念,能够让一个组件返回多个元素。所以我们可以这么写

<React.Fragment>    <li> 🍎🍎🍎 </li>    <li> 🍌🍌🍌 </li>    <li> 🍇🍇🍇 </li></React.Fragment>

还可以简写成:

<>    <li> 🍎🍎🍎 </li>    <li> 🍌🍌🍌 </li>    <li> 🍇🍇🍇 </li></>

Fragment区别是,Fragment可以支持key属性。<></>不支持key属性。

Profiler

Profiler这个api一般用于开发阶段,性能检测,检测一次react组件渲染用时,性能开销。

Profiler 需要两个参数:

第一个参数:是 id,用于表识唯一性的Profiler

第二个参数:onRender回调函数,用于渲染完成,接受渲染参数。

实践:

const index = () => {  const callback = (...arg) => console.log(arg)  return <div >    <div >      <Profiler id="root" onRender={ callback }  >        <Router  >          <Meuns/>          <KeepaliveRouterSwitch withoutRoute >              { renderRoutes(menusList) }          </KeepaliveRouterSwitch>        </Router>      </Profiler>     </div>  </div>}

结果

Profiler.jpg

onRender

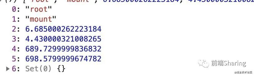
0 -id: root  ->  Profiler 树的 id 。1 -phase: mount ->  mount 挂载 , update 渲染了。2 -actualDuration: 6.685000262223184  -> 更新 committed 花费的渲染时间。3 -baseDuration:  4.430000321008265  -> 渲染整颗子树需要的时间 4 -startTime : 689.7299999836832 ->  本次更新开始渲染的时间 5 -commitTime : 698.5799999674782 ->  本次更新 committed 的时间 6 -interactions: set{} -> 本次更新的 interactions 的集合

尽管 Profiler 是一个轻量级组件,我们依然应该在需要时才去使用它。对一个应用来说,每添加一些都会给 CPU 和内存带来一些负担。

StrictMode

StrictMode见名知意,严格模式,用于检测react项目中的潜在的问题,。与 Fragment 一样, StrictMode 不会渲染任何可见的 UI 。它为其后代元素触发额外的检查和警告。

严格模式检查仅在开发模式下运行;它们不会影响生产构建。

StrictMode目前有助于:

  • ①识别不安全的生命周期。

  • ②关于使用过时字符串 ref API 的警告

  • ③关于使用废弃的 findDOMNode 方法的警告

  • ④检测意外的副作用

  • ⑤检测过时的 context API

实践: 识别不安全的生命周期

对于不安全的生命周期,指的是UNSAFE_componentWillMountUNSAFE_componentWillReceiveProps , UNSAFE_componentWillUpdate

外层开启严格模式:

<React.StrictMode>     <Router  >        <Meuns/>        <KeepaliveRouterSwitch withoutRoute >            { renderRoutes(menusList) }        </KeepaliveRouterSwitch>    </Router></React.StrictMode>

我们在内层组件中,使用不安全的生命周期:

class Index extends React.Component{        UNSAFE_componentWillReceiveProps(){    }    render(){              return <div class />       }}

效果:

strictMode.jpg

工具类

接下来我们一起来探究一下react工具类函数的用法。

utils.jpg

createElement

一提到createElement,就不由得和JSX联系一起。我们写的jsx,最终会被 babel,用createElement编译成react元素形式。我写一个组件,我们看一下会被编译成什么样子,

如果我们在render里面这么写:

render(){    return <div class  />        <React.Fragment> Flagment </React.Fragment>        { /*  */ }        text文本    </div>}

会被编译成这样:

render() {    return React.createElement("div", { className: "box" },            React.createElement("div", { className: "item" }, "\u751F\u547D\u5468\u671F"),            React.createElement(Text, { mes: "hello,world" }),            React.createElement(React.Fragment, null, " Flagment "),            "text\u6587\u672C");    }

当然我们可以不用jsx模式,而是直接通过createElement进行开发。

createElement模型:

React.createElement(
  type,
  [props],
  [...children]
)

createElement参数:

** 第一个参数:** 如果是组件类型,会传入组件,如果是dom元素类型,传入div或者span之类的字符串。

第二个参数:: 第二个参数为一个对象,在dom类型中为属性,在组件类型中为 props

其他参数:,依次为children,根据顺序排列。

createElement 做了些什么?

经过createElement处理,最终会形成 $$typeof = Symbol(react.element)对象。对象上保存了该react.element的信息。

cloneElement

可能有的同学还傻傻的分不清楚cloneElementcreateElement区别和作用。

createElement把我们写的jsx,变成element对象;  而cloneElement的作用是以 element 元素为样板克隆并返回新的 React 元素。返回元素的 props 是将新的 props 与原始元素的 props 浅层合并后的结果。

那么cloneElement感觉在我们实际业务组件中,可能没什么用,但是在一些开源项目,或者是公共插槽组件中用处还是蛮大的,比如说,我们可以在组件中,劫持children element,然后通过cloneElement克隆element,混入props。经典的案例就是 react-router中的Swtich组件,通过这种方式,来匹配唯一的 Route并加以渲染。

我们设置一个场景,在组件中,去劫持children,然后给children赋能一些额外的props:

function FatherComponent({ children }){    const newChildren = React.cloneElement(children, { age: 18})    return <div> { newChildren } </div>}function SonComponent(props){    console.log(props)    return <div>hello,world</div>}class Index extends React.Component{        render(){              return <div class  />            </FatherComponent>        </div>       }}

打印:

cloneElment.jpg

完美达到了效果!

createContext

createContext用于创建一个Context对象,createContext对象中,包括用于传递 Context 对象值 valueProvider,和接受value变化订阅的Consumer

const MyContext = React.createContext(defaultValue)

createContext接受一个参数defaultValue,如果Consumer上一级一直没有Provider, 则会应用defaultValue作为value只有当组件所处的树中没有匹配到 Provider 时,其 defaultValue 参数才会生效。

我们来模拟一个 Context.ProviderContext.Consumer的例子:

function ComponentB(){    /* 用 Consumer 订阅, 来自 Provider 中 value 的改变  */    return <MyContext.Consumer>        { (value) => <ComponentA  {...value} /> }    </MyContext.Consumer>}function ComponentA(props){    const { name , mes } = props    return <div>             <div> 姓名: { name }  </div>            <div> 想对大家说: { mes }  </div>         </div>}function index(){    const [ value , ] = React.useState({        name:'alien',        mes:'let us learn React '    })    return <div style={{ marginTop:'50px' }} >        <MyContext.Provider value={value}  >          <ComponentB />    </MyContext.Provider>    </div>}

打印结果:

createContent.jpg

ProviderConsumer的良好的特性,可以做数据的Consumer一方面传递value, 另一方面可以订阅value的改变。

Provider还有一个特性可以层层传递value,这种特性在react-redux中表现的淋漓尽致。

createFactory

React.createFactory(type)

返回用于生成指定类型 React 元素的函数。类型参数既可以是标签名字符串(像是 'div'或'span'),也可以是 React 组件 类型 ( class 组件或函数组件),或是 React fragment 类型。

使用:

const Text = React.createFactory(()=><div>hello,world</div>) function Index(){      return <div style={{ marginTop:'50px'  }} >        <Text/>    </div>}

效果

createFactory.jpg

报出警告,这个api将要被废弃,我们这里就不多讲了,如果想要达到同样的效果,请用React.createElement

createRef

createRef可以创建一个 ref 元素,附加在react元素上。

用法:

class Index extends React.Component{    constructor(props){        super(props)        this.node = React.createRef()    }    componentDidMount(){        console.log(this.node)    }    render(){        return <div ref={this.node} > my name is alien </div>    }}

个人觉得createRef这个方法,很鸡肋,我们完全可以class类组件中这么写,来捕获ref

class Index extends React.Component{    node = null    componentDidMount(){        console.log(this.node)    }    render(){        return <div ref={(node)=> this.node } > my name is alien </div>    }}

或者在function组件中这么写:

function Index(){    const node = React.useRef(null)    useEffect(()=>{        console.log(node.current)    },[])    return <div ref={node} >  my name is alien </div>}

isValidElement

这个方法可以用来检测是否为react element元素, 接受待验证对象,返回true或者false。这个 api 可能对于业务组件的开发,作用不大,因为对于组件内部状态,都是已知的,我们根本就不需要去验证,是否是react element 元素。但是,对于一起公共组件或是开源库,isValidElement就很有作用了。

实践

我们做一个场景,验证容器组件的所有子组件,过滤到非react element类型。

没有用isValidElement验证之前:

const Text = () => <div>hello,world</div> class WarpComponent extends React.Component{    constructor(props){        super(props)    }    render(){        return this.props.children    }}function Index(){    return <div style={{ marginTop:'50px' }} >        <WarpComponent>            <Text/>            <div> my name is alien </div>            Let's learn react together!        </WarpComponent>    </div>}

过滤之前的效果

isValidElement.jpg

我们用isValidElement进行react element验证:

class WarpComponent extends React.Component{    constructor(props){        super(props)        this.newChidren = this.props.children.filter(item => React.isValidElement(item) )    }    render(){        return this.newChidren    }}

过滤之后效果

isValidElement111.jpg

过滤掉了非react elementLet's learn react together!

Children.map

接下来的五个api都是和react.Chidren相关的,我们来分别介绍一下,我们先来看看官网的描述,React.Children 提供了用于处理 this.props.children 不透明数据结构的实用方法。

有的同学会问遍历 children用数组方法,mapforEach 不就可以了吗?请我们注意一下不透明数据结构, 什么叫做不透明结构?

我们先看一下透明的结构:

class Text extends React.Component{    render(){        return <div>hello,world</div>    }}function WarpComponent(props){    console.log(props.children)    return props.children}function Index(){    return <div style={{ marginTop:'50px' }} >        <WarpComponent>            <Text/>            <Text/>            <Text/>            <span>hello,world</span>        </WarpComponent>    </div>}

打印

chidrenmap.jpg

但是我们把Index结构改变一下:

function Index(){    return <div style={{ marginTop:'50px' }} >        <WarpComponent>            { new Array(3).fill(0).map(()=><Text/>) }            <span>hello,world</span>        </WarpComponent>    </div>}

打印

chidrenmap2.jpg

这个数据结构,我们不能正常的遍历了,即使遍历也不能遍历,每一个子元素。此时就需要 react.Chidren 来帮忙了。

但是我们把WarpComponent组件用react.Chidren处理children:

function WarpComponent(props){    const newChildren = React.Children.map(props.children,(item)=>item)    console.log(newChildren)    return newChildren}

此时就能正常遍历了,达到了预期效果。

C71364B2-25E8-4F7D-A26D-50CA36AF4E33.jpg

注意如果 children 是一个 Fragment 对象,它将被视为单一子节点的情况处理,而不会被遍历。

Children.forEach

Children.forEachChildren.map 用法类似,Children.map可以返回新的数组,Children.forEach仅停留在遍历阶段。

我们将上面的WarpComponent方法,用Children.forEach改一下。

function WarpComponent(props){    React.Children.forEach(props.children,(item)=>console.log(item))    return props.children}

Children.count

children 中的组件总数量,等同于通过 mapforEach 调用回调函数的次数。对于更复杂的结果,Children.count可以返回同一级别子组件的数量。

我们还是把上述例子进行改造:

function WarpComponent(props){    const childrenCount =  React.Children.count(props.children)    console.log(childrenCount,'childrenCount')    return props.children}   function Index(){    return <div style={{ marginTop:'50px' }} >        <WarpComponent>            { new Array(3).fill(0).map((item,index) => new Array(2).fill(1).map((item,index1)=><Text key={index+index1} />)) }            <span>hello,world</span>        </WarpComponent>    </div>}

效果:

chidrencunt.jpg

Children.toArray

Children.toArray返回,props.children扁平化后结果。

function WarpComponent(props){    const newChidrenArray =  React.Children.toArray(props.children)    console.log(newChidrenArray,'newChidrenArray')    return newChidrenArray}   function Index(){    return <div style={{ marginTop:'50px' }} >        <WarpComponent>            { new Array(3).fill(0).map((item,index)=>new Array(2).fill(1).map((item,index1)=><Text key={index+index1} />)) }            <span>hello,world</span>        </WarpComponent>    </div>}

效果:

chuldeanarrgy.jpg

newChidrenArray , 就是扁平化的数组结构。React.Children.toArray() 在拉平展开子节点列表时,更改 key 值以保留嵌套数组的语义。也就是说, toArray 会为返回数组中的每个 key 添加前缀,以使得每个元素 key 的范围都限定在此函数入参数组的对象内。

Children.only

验证 children 是否只有一个子节点(一个 React 元素),如果有则返回它,否则此方法会抛出错误。

不唯一

function WarpComponent(props){    console.log(React.Children.only(props.children))    return props.children}   function Index(){    return <div style={{ marginTop:'50px' }} >        <WarpComponent>            { new Array(3).fill(0).map((item,index)=><Text key={index} />) }            <span>hello,world</span>        </WarpComponent>    </div>}

效果

falseonly.jpg

唯一

function WarpComponent(props){    console.log(React.Children.only(props.children))    return props.children}   function Index(){    return <div style={{ marginTop:'50px' }} >        <WarpComponent>           <Text/>        </WarpComponent>    </div>}

效果

only.jpg

React.Children.only() 不接受 React.Children.map() 的返回值,因为它是一个数组而并不是 React 元素。

react-hooks

对于react-hooks, 我已经写了三部曲,对于常见的hooks,我这里就不多讲了,还没看过的同学建议看一下react-hooks三部曲

三部曲

「react 进阶」一文吃透 react-hooks 原理

玩转 react-hooks, 自定义 hooks 设计模式及其实战

react-hooks 如何使用?

我们今天重点说一下,几个少用的api

hooks.jpg

useImperativeHandle

useImperativeHandle 可以配合 forwardRef自定义暴露给父组件的实例值。这个很有用,我们知道,对于子组件,如果是class类组件,我们可以通过ref获取类组件的实例,但是在子组件是函数组件的情况,如果我们不能直接通过ref的,那么此时useImperativeHandleforwardRef配合就能达到效果。

useImperativeHandle接受三个参数:

  • 第一个参数 ref: 接受 forWardRef 传递过来的 ref

  • 第二个参数 createHandle :处理函数,返回值作为暴露给父组件的ref对象。

  • 第三个参数 deps: 依赖项 deps,依赖项更改形成新的ref对象。

我们来模拟给场景,用useImperativeHandle,使得父组件能让子组件中的input自动赋值并聚焦。

function Son (props,ref) {    console.log(props)    const inputRef = useRef(null)    const [ inputValue , setInputValue ] = useState('')    useImperativeHandle(ref,()=>{       const handleRefs = {           /* 声明方法用于聚焦input框 */           onFocus(){              inputRef.current.focus()           },           /* 声明方法用于改变input的值 */           onChangeValue(value){               setInputValue(value)           }       }       return handleRefs    },[])    return <div>        <input            placeholder="请输入内容"            ref={inputRef}            value={inputValue}        />    </div>}const ForwarSon = forwardRef(Son)class Index extends React.Component{    cur = null    handerClick(){       const { onFocus , onChangeValue } =this.cur       onFocus()       onChangeValue('let us learn React!')    }    render(){        return <div style={{ marginTop:'50px' }} >            <ForwarSon ref={cur => (this.cur = cur)} />            <button onClick={this.handerClick.bind(this)} >操控子组件</button>        </div>    }}

效果:

useImperativeHandle.gif

useDebugValue

useDebugValue 可用于在 React 开发者工具中显示自定义 hook 的标签。这个hooks目的就是检查自定义hooks

function useFriendStatus(friendID) {  const [isOnline, setIsOnline] = useState(null);  // ...  // 在开发者工具中的这个 Hook 旁边显示标签  // e.g. "FriendStatus: Online"  useDebugValue(isOnline ? 'Online' : 'Offline');  return isOnline;}

我们不推荐你向每个自定义 Hook 添加 debug 值。当它作为共享库的一部分时才最有价值。在某些情况下,格式化值的显示可能是一项开销很大的操作。除非需要检查 Hook,否则没有必要这么做。因此,useDebugValue 接受一个格式化函数作为可选的第二个参数。该函数只有在 Hook 被检查时才会被调用。它接受 debug 值作为参数,并且会返回一个格式化的显示值。

useTransition

useTransition允许延时由state改变而带来的视图渲染。避免不必要的渲染。它还允许组件将速度较慢的数据获取更新推迟到随后渲染,以便能够立即渲染更重要的更新。

const TIMEOUT_MS = { timeoutMs: 2000 }const [startTransition, isPending] = useTransition(TIMEOUT_MS)
  • useTransition 接受一个对象, timeoutMs代码需要延时的时间。

  • 返回一个数组。第一个参数:  是一个接受回调的函数。我们用它来告诉 React 需要推迟的 state第二个参数: 一个布尔值。表示是否正在等待,过度状态的完成 (延时state的更新)。

下面我们引入官网的列子,来了解useTransition的使用。

const SUSPENSE_CONFIG = { timeoutMs: 2000 };function App() {  const [resource, setResource] = useState(initialResource);  const [startTransition, isPending] = useTransition(SUSPENSE_CONFIG);  return (    <>      <button        disabled={isPending}        onClick={() => {          startTransition(() => {            const nextUserId = getNextId(resource.userId);            setResource(fetchProfileData(nextUserId));          });        }}      >        Next      </button>      {isPending ? " 加载中..." : null}      <Suspense fallback={<Spinner />}>        <ProfilePage resource={resource} />      </Suspense>    </>  );}

在这段代码中,我们使用 startTransition 包装了我们的数据获取。这使我们可以立即开始获取用户资料的数据,同时推迟下一个用户资料页面以及其关联的 Spinner 的渲染 2 秒钟( timeoutMs  中显示的时间)。

这个api目前处于实验阶段,没有被完全开放出来。

react-dom

接下来,我们来一起研究react-dom中比较重要的api

react-dom.jpg

render

render 是我们最常用的react-domapi,用于渲染一个react元素,一般react项目我们都用它,渲染根部容器app

ReactDOM.render(element, container[, callback])

使用

ReactDOM.render(    < App / >,    document.getElementById('app'))

ReactDOM.render会控制container容器节点里的内容,但是不会修改容器节点本身。

hydrate

服务端渲染用hydrate。用法与 render() 相同,但它用于在 ReactDOMServer 渲染的容器中对 HTML 的内容进行 hydrate 操作。

ReactDOM.hydrate(element, container[, callback])

createPortal

Portal 提供了一种将子节点渲染到存在于父组件以外的 DOM 节点的优秀的方案。createPortal 可以把当前组件或 element 元素的子节点,渲染到组件之外的其他地方。

那么具体应用到什么场景呢?

比如一些全局的弹窗组件model,<Model/>组件一般都写在我们的组件内部,倒是真正挂载的dom,都是在外层容器,比如body上。此时就很适合createPortalAPI。

createPortal接受两个参数:

ReactDOM.createPortal(child, container)

第一个:child 是任何可渲染的 React 子元素 第二个:container是一个 DOM 元素。

接下来我们实践一下:

function WrapComponent({ children }){    const domRef = useRef(null)    const [ PortalComponent, setPortalComponent ] = useState(null)    React.useEffect(()=>{        setPortalComponent( ReactDOM.createPortal(children,domRef.current) )    },[])    return <div>         <div class ref={ domRef } ></div>        { PortalComponent }     </div>}class Index extends React.Component{    render(){        return <div style={{ marginTop:'50px' }} >             <WrapComponent>               <div  >hello,world</div>            </WrapComponent>        </div>    }}

效果

createPortal.jpg

我们可以看到,我们children实际在container 之外挂载的,但是已经被createPortal渲染到container中。

unstable_batchedUpdates

react-legacy模式下,对于事件,react事件有批量更新来处理功能, 但是这一些非常规的事件中,批量更新功能会被打破。所以我们可以用react-dom中提供的unstable_batchedUpdates 来进行批量更新。

一次点击实现的批量更新

class Index extends React.Component{    constructor(props){       super(props)       this.state={           numer:1,       }    }    handerClick=()=>{        this.setState({ numer : this.state.numer + 1 })        console.log(this.state.numer)        this.setState({ numer : this.state.numer + 1 })        console.log(this.state.numer)        this.setState({ numer : this.state.numer + 1 })        console.log(this.state.numer)    }    render(){        return <div  style={{ marginTop:'50px' }} >             <button onClick={ this.handerClick } >click me</button>        </div>    }}

效果

batch1.jpg

渲染次数一次。

批量更新条件被打破

handerClick=()=>{    Promise.resolve().then(()=>{        this.setState({ numer : this.state.numer + 1 })        console.log(this.state.numer)        this.setState({ numer : this.state.numer + 1 })        console.log(this.state.numer)        this.setState({ numer : this.state.numer + 1 })        console.log(this.state.numer)    })  }

效果

batch2.jpg

渲染次数三次。

unstable_batchedUpdate 助力

handerClick=()=>{        Promise.resolve().then(()=>{            ReactDOM.unstable_batchedUpdates(()=>{                this.setState({ numer : this.state.numer + 1 })                console.log(this.state.numer)                this.setState({ numer : this.state.numer + 1 })                console.log(this.state.numer)                this.setState({ numer : this.state.numer + 1 })                console.log(this.state.numer)            })         })    }

渲染次数一次, 完美解决批量更新问题。

flushSync

flushSync 可以将回调函数中的更新任务,放在一个较高的优先级中。我们知道react设定了很多不同优先级的更新任务。如果一次更新任务在flushSync回调函数内部,那么将获得一个较高优先级的更新。比如

ReactDOM.flushSync(()=>{    /* 此次更新将设置一个较高优先级的更新 */    this.setState({ name: 'alien'  })})

为了让大家理解flushSync,我这里做一个demo奉上,

/* flushSync */import ReactDOM from 'react-dom'class Index extends React.Component{    state={ number:0 }    handerClick=()=>{        setTimeout(()=>{            this.setState({ number: 1  })        })        this.setState({ number: 2  })        ReactDOM.flushSync(()=>{            this.setState({ number: 3  })        })        this.setState({ number: 4  })    }    render(){        const { number } = this.state        console.log(number) // 打印什么??        return <div>            <div>{ number }</div>            <button onClick={this.handerClick} >测试flushSync</button>        </div>    }}

先不看答案,点击一下按钮,打印什么呢?

我们来点击一下看看

flushSync.gif

打印 0 3 4 1 ,相信不难理解为什么这么打印了。

  • 首先 flushSync this.setState({ number: 3 })设定了一个高优先级的更新,所以 3 先被打印

  • 2 4 被批量更新为 4

相信这个demo让我们更深入了解了flushSync

findDOMNode

findDOMNode用于访问组件DOM元素节点,react推荐使用ref模式,不期望使用findDOMNode

ReactDOM.findDOMNode(component)

注意的是:

  • 1 findDOMNode只能用在已经挂载的组件上。

  • 2  如果组件渲染内容为 null 或者是 false,那么 findDOMNode返回值也是 null

  • 3 findDOMNode 不能用于函数组件。

接下来让我们看一下,findDOMNode具体怎么使用的:

class Index extends React.Component{    handerFindDom=()=>{        console.log(ReactDOM.findDOMNode(this))    }    render(){        return <div style={{ marginTop:'100px' }} >            <div>hello,world</div>            <button onClick={ this.handerFindDom } >获取容器dom</button>        </div>    }}

效果:

findNodedom.gif

我们完全可以将外层容器用ref来标记,获取捕获原生的dom节点。

unmountComponentAtNode

DOM 中卸载组件,会将其事件处理器和 state 一并清除。如果指定容器上没有对应已挂载的组件,这个函数什么也不会做。如果组件被移除将会返回 true ,如果没有组件可被移除将会返回  false

我们来简单举例看看unmountComponentAtNode如何使用?

function Text(){    return <div>hello,world</div>}class Index extends React.Component{    node = null    constructor(props){       super(props)       this.state={           numer:1,       }    }    componentDidMount(){        /*  组件初始化的时候,创建一个 container 容器 */        ReactDOM.render(<Text/> , this.node )    }    handerClick=()=>{       /* 点击卸载容器 */        const state =  ReactDOM.unmountComponentAtNode(this.node)       console.log(state)    }    render(){        return <div  style={{ marginTop:'50px' }}  >              <div ref={ ( node ) => this.node = node  }  ></div>              <button onClick={ this.handerClick } >click me</button>        </div>    }}

效果

unmounted.gif

总结

本文通过react组件层面,工具层面,hooks层面,react-dom了解了api的用法,希望看完的同学,能够对着文章中的demo自己敲一遍,到头来会发现自己成长不少。

最后, 送人玫瑰,手留余香,觉得有收获的朋友可以给笔者点赞,关注一波 ,陆续更新前端超硬核文章。

提前透漏:接下来会出一部揭秘react事件系统的文章。感兴趣的同学请关注我!

参考文档

react 中文文档

如果你觉得这篇内容对你挺有启发,我想邀请你帮我三个小忙:

  1. 点个「在看」,让更多的人也能看到这篇内容(喜欢不点在看,都是耍流氓 -_-)

  2. 欢迎加我微信「CALSFxiaotan」一起交流学习...

  3. 关注公众号「前端巅峰」,持续为你推送精选好文。