Skip to content

本文由 简悦 SimpRead 转码, 原文地址 mp.weixin.qq.com

引言

本文转载自前端瓶子君之前整理的面试算法系列第一部分(基础入门系列),本文加以总结与概括,主要内容包括:

以及题目:

  • 图解 leetcode88:合并两个有序数组 [1]

  • 字节 & leetcode1:两数之和 [2]

  • 腾讯:数组扁平化、去重、排序 [3]

  • leetcode349:给定两个数组,编写一个函数来计算它们的交集 [4]

  • leetcode146:设计和实现一个 LRU(最近最少使用)缓存机制 [5]

  • 阿里算法题:编写一个函数计算多个数组的交集 [6]

  • leetcode21:合并两个有序链表 [7]

  • 有赞 & leetcode141:判断一个单链表是否有环 [8]

  • 图解 leetcode206:反转链表 [9]

下面进入正文吧👇

一、前端进阶算法 1:如何分析、统计算法的执行效率和资源消耗?

好的数据结构与算法能够大大缩短代码的执行时间与存储空间,那么我们如何去衡量它喃?这节就主要介绍算法性能的衡量指标—复杂度分析。

复杂度可分为:

  • 时间复杂度

  • 空间复杂度

1. 如何表示算法复杂度?

通常采用 大 O 表示法 来表示复杂度。它并不代表真正的执行时间或存储空间消耗,而是表示代码执行时间随数据规模增长的变化趋势(时间复杂度)或存储空间随数据规模增长的变化趋势(空间复杂度),所以,也叫作渐进时间(或空间)复杂度(asymptotic time complexity),简称时间(或空间)复杂度

2. 常见复杂度

多项式量级:

  • 常量阶:O(1):当算法中不存在循环语句、递归语句,即使有成千上万行的代码,其时间复杂度也是Ο(1)

  • 对数阶:O(logn): 简单介绍一下

let i=1;while (i <= n)  {  i = i * 2;}
  • 每次循环 i 都乘以 2 ,直至 i > n ,即执行过程是:20、21、22、…、2k、…、2x、 n 所以总执行次数 x ,可以写成 2x = n ,则时间复杂度为 O(log2n) 。这里是 2 ,也可以是其他常量 k ,时间复杂度也是:O(log~3~n) = O(log32 * log2n) = O(log2n)

  • 线性阶:O(n)

  • 线性对数阶:O(nlogn)

  • 平方阶、立方阶、….、k 次方阶:O(n2)、O(n3)、…、O(nk)

非多项式量阶:

  • 指数阶:O(2n)

  • 阶乘阶:O(n!)

3. 复杂度的划分

以时间复杂度为例,时间复杂度受数据本身影响,还分为:

  • 最好时间复杂度:在最理想的情况下,执行这段代码的时间复杂度

  • 最坏时间复杂度:在最糟糕的情况下,执行这段代码的时间复杂度

  • 平均时间复杂度:所有情况下,求一个平均值,可以省略掉系数、低阶、常量

详情:前端进阶算法 1:如何分析、统计算法的执行效率和资源消耗?[10]

二、前端进阶算法 2:从 Chrome V8 源码看 JavaScript 数组(附赠腾讯面试题)

1. JavaScript 中,数组的应用

let arr = [1, 2, 3]

它的这种特定的存储结构决定了:

优点

  • 随机访问:可以通过下标随机访问数组中的任意位置上的数据

缺点

  • 对数据的删除和插入不是很友好

查找: 根据下标随机访问的时间复杂度为 O(1);

插入或删除: 时间复杂度为 O(n);

在 JavaScript 中的数组几乎是万能的,它不光可以作为一个普通的数组使用,可以作为栈或队列使用。

数组:

let array = [1, 2, 3]

栈:

let stack = [1, 2, 3]// 进栈stack.push(4)// 出栈stcak.pop()

队列:

let queue = [1, 2, 3]// 进队queue.push(4)// 出队queue.shift()

2. JavaScript 中,数组的独特之处

我们知道在 JavaScript 中,可以在数组中保存不同类型值,并且数组可以动态增长,不像其它语言,例如 C,创建的时候要决定数组的大小,如果数组满了,就要重新申请内存空间。这是为什么喃?

JavaScript 中, JSArray 继承自 JSObject ,或者说它就是一个特殊的对象,内部是以 key-value 形式存储数据,所以 JavaScript 中的数组可以存放不同类型的值。它有两种存储方式,快数组与慢数组,初始化空数组时,使用快数组,快数组使用连续的内存空间,当数组长度达到最大时,JSArray 会进行动态的扩容,以存储更多的元素,相对慢数组,性能要好得多。当数组中 hole 太多时,会转变成慢数组,即以哈希表的方式( key-value 的形式)存储数据,以节省内存空间。

具体快慢数组、动态扩容前往:前端进阶算法 2:从 Chrome V8 源码看 JavaScript 数组(附赠腾讯面试题)[11]

三、前端进阶算法 3:从浏览器缓存淘汰策略和 Vue 的 keep-alive 学习 LRU 算法

1. 浏览器缓存淘汰策略

当我们打开一个网页时,例如 https://github.com/sisterAn/JavaScript-Algorithms ,它会在发起真正的网络请求前,查询浏览器缓存,看是否有要请求的文件,如果有,浏览器将会拦截请求,返回缓存文件,并直接结束请求,不会再去服务器上下载。如果不存在,才会去服务器请求。

其实,浏览器中的缓存是一种在本地保存资源副本,它的大小是有限的,当我们请求数过多时,缓存空间会被用满,此时,继续进行网络请求就需要确定缓存中哪些数据被保留,哪些数据被移除,这就是浏览器缓存淘汰策略,最常见的淘汰策略有 FIFO(先进先出)、LFU(最少使用)、LRU(最近最少使用)。

LRU ( Least Recently Used :最近最少使用 )缓存淘汰策略,故名思义,就是根据数据的历史访问记录来进行淘汰数据,其核心思想是 如果数据最近被访问过,那么将来被访问的几率也更高 ,优先淘汰最近没有被访问到的数据。

画个图帮助我们理解 LRU:

2. Vue 的 keep-alive 源码解读

keep-alive 缓存超过 max 时,使用的缓存淘汰算法就是 LRU 算法,它在实现的过程中用到了 cache 对象用于保存缓存的组件实例及 key 值,keys 数组用于保存缓存组件的 key ,当 keep-alive 中渲染一个需要缓存的实例时:

  • 判断缓存中是否已缓存了该实例,缓存了则直接获取,并调整 keykeys 中的位置(移除 keyskey ,并放入 keys 数组的最后一位)

  • 如果没有缓存,则缓存该实例,若 keys 的长度大于 max (缓存长度超过上限),则移除 keys[0] 缓存

主要实现 LRU 代码:

// --------------------------------------------------// 下面就是 LRU 算法了,// 如果在缓存里有则调整,// 没有则放入(长度超过 max,则淘汰最近没有访问的)// --------------------------------------------------// 如果命中缓存,则从缓存中获取 vnode 的组件实例,// 并且调整 key 的顺序放入 keys 数组的末尾if (cache[key]) {  vnode.componentInstance = cache[key].componentInstance;  // make current key freshest  remove(keys, key);  keys.push(key);}// 如果没有命中缓存,就把 vnode 放进缓存else {  cache[key] = vnode;  keys.push(key);  // prune oldest entry  // 如果配置了 max 并且缓存的长度超过了 this.max,还要从缓存中删除第一个  if (this.max && keys.length > parseInt(this.max)) {    pruneCacheEntry(cache, keys[0], keys, this._vnode);  }}

源码详情:前端进阶算法 3:从浏览器缓存淘汰策略和 Vue 的 keep-alive 学习 LRU 算法 [12]

四、前端进阶算法 4:链表原来如此简单(+leetcode 刷题)

1. 图解链表

常用的链表类型有单链表、双链表以及循环链表,其中 next 为后继指针,指向它的后继节点,prev 为前驱指针,指向它的前驱节点。

单链表

双链表

循环链表

2. 链表复杂度一览表

单链表

操作方法时间复杂度说明
appendO(n)在链表尾部追加节点
searchO(n)在链表中查找任意元素
insertO(n)在链表中任意位置插入一个节点
removeO(n)删除链表中任意位置的一个节点
searchNextO(1)查找某节点的后继节点
insertNextO(1)在某一节点后插入一个节点(后继节点)
removeNextO(1)在某一节点后删除一个节点(后继节点)

双链表

操作方法时间复杂度说明
searchO(n)在链表中查找任意元素
insertO(n)在链表中任意位置插入一个节点
removeO(n)删除链表中任意位置的一个节点
searchNext 或 searchPreO(1)查找某节点的后继节点或前驱节点
insertNext 或 insertPreO(1)插入某节点的后继节点或前驱节点
removeNext 或 removePreO(1)删除某节点的前驱节点或后继节点

循环链表

操作方法时间复杂度说明
searchO(n)在链表中查找任意元素
insertO(n)在链表中任意位置插入一个节点
removeO(n)删除链表中任意位置的一个节点
searchNextO(1)查找某节点的后继节点
insertNextO(1)在某一节点后插入一个节点(后继节点)
removeNextO(1)在某一节点后删除一个节点(后继节点)

详情:前端进阶算法 4:链表原来如此简单(+leetcode 刷题)[13]

五、图解 leetcode88:合并两个有序数组

1. 题目

给你两个有序整数数组 nums1 和 nums2,请你将 nums2 合并到 nums1 中,使 num1 成为一个有序数组。

说明:

初始化 nums1nums2 的元素数量分别为 mn 。你可以假设 nums1 有足够的空间(空间大小大于或等于 m + n )来保存 nums2 中的元素。

示例:

输入:nums1 = [1,2,3,0,0,0], m = 3nums2 = [2,5,6],       n = 3输出: [1,2,2,3,5,6]

2. 解答

解题思路:

  • nums1nums2 有序,若把 nums2 全部合并到 nums1 ,则合并后的 nums1 长度为 m+n

  • 我们可以从下标 m+n-1 的位置填充 nums1 ,比较 nums1[len1]nums2[len2] 的大小,将最大值写入 nums1[len],即

  • nums1[len1]>=nums2[len2]nums1[len--] = nums1[len1--] , 这里 -- 是因为写入成功后,下标自动建议,继续往前比较

  • 否则 nums1[len--] = nums2[len2--]

  • 边界条件:

  • len1 < 0,即 len2 >= 0 ,此时 nums1 已重写入, nums2 还未合并完,仅仅需要将 nums2 的剩余元素(0…len)写入 nums2 即可,写入后,合并完成

  • len2 < 0,此时 nums2 已全部合并到 nums1 ,合并完成

时间复杂度为 O(m+n)

代码实现:

var merge = function(nums1, m, nums2, n) {    let len1 = m - 1,        len2 = n - 1,        len = m + n - 1    while(len2 >= 0) {        if(len1 < 0) {            nums1[len--] = nums2[len2--]            continue        }        nums1[len--] = nums1[len1] >= nums2[len2] ? nums1[len1--]: nums2[len2--]    }};

3. 更多解答请看:图解 leetcode88:合并两个有序数组 [14]

六、字节 & leetcode1:两数之和

1. 题目

给定一个整数数组 nums 和一个目标值 target ,请你在该数组中找出和为目标值的那 两个 整数,并返回他们的数组下标。

你可以假设每种输入只会对应一个答案。但是,你不能重复利用这个数组中同样的元素。

示例:

给定 nums = [2, 7, 11, 15], target = 9因为 nums[0] + nums[1] = 2 + 7 = 9所以返回 [0, 1]

2. 解答

解题思路:

  • 初始化一个 map = new Map()

  • 从第一个元素开始遍历 nums

  • 获取目标值与 nums[i] 的差值,即 k = target - nums[i] ,判断差值在 map 中是否存在

  • 不存在( map.has(k)false ) ,则将 nums[i] 加入到 map 中(key 为nums[i], value 为 i ,方便查找 map 中是否存在某值,并可以通过 get 方法直接拿到下标)

  • 存在( map.has(k) ),返回 [map.get(k), i] ,求解结束

  • 遍历结束,则 nums 中没有符合条件的两个数,返回 []

时间复杂度:O(n)

代码实现:

var twoSum = function(nums, target) {    let map = new Map()    for(let i = 0; i< nums.length; i++) {        let k = target-nums[i]        if(map.has(k)) {            return [map.get(k), i]        }        map.set(nums[i], i)    }    return [];};

3. 更多解答请看:字节 & leetcode1:两数之和 [15]

七、腾讯:数组扁平化、去重、排序

1. 题目

已知如下数组:var arr = [[1, 2, 2], [3, 4, 5, 5], [6, 7, 8, 9, [11, 12, [12, 13, [14] ] ] ], 10];

编写一个程序将数组扁平化去并除其中重复部分数据,最终得到一个升序且不重复的数组

2. 答案:

var arr = [ [1, 2, 2], [3, 4, 5, 5], [6, 7, 8, 9, [11, 12, [12, 13, [14] ] ] ], 10]// 扁平化let flatArr = arr.flat(4)// 去重let disArr = Array.from(new Set(flatArr))// 排序let result = disArr.sort(function(a, b) {    return a-b})console.log(result)// [1, 2, 3, 4, 5, 6, 7, 8, 9, 10, 11, 12, 13, 14]

感谢 352800205 的补充:flat() 方法对 node 版本有要求,至少需要 12.0 以上

3. 更多解答请看:腾讯:数组扁平化、去重、排序 [16]

八、leetcode349:给定两个数组,编写一个函数来计算它们的交集

1. 题目

给定两个数组,编写一个函数来计算它们的交集。

示例 1:

输入: nums1 = [1,2,2,1], nums2 = [2,2]输出: [2]

示例 2:

输入: nums1 = [4,9,5], nums2 = [9,4,9,8,4]输出: [9,4]

说明:

输出结果中的每个元素一定是唯一的。我们可以不考虑输出结果的顺序。

2. 答案

解题思路:

  • filter 过滤

  • Set 去重

代码实现:

var intersection = function(nums1, nums2) {    return [...new Set(nums1.filter((item)=>nums2.includes(item)))]};

3. 更多解答请看:leetcode349:给定两个数组,编写一个函数来计算它们的交集 [17]

九、leetcode146:设计和实现一个 LRU(最近最少使用)缓存机制

1. 题目

运用你所掌握的数据结构,设计和实现一个 LRU (最近最少使用) 缓存机制。它应该支持以下操作:获取数据 get 和写入数据 put

获取数据 get(key) - 如果密钥 ( key ) 存在于缓存中,则获取密钥的值(总是正数),否则返回 -1 。写入数据 put(key, value) - 如果密钥不存在,则写入数据。当缓存容量达到上限时,它应该在写入新数据之前删除最久未使用的数据,从而为新数据留出空间。

进阶:

你是否可以在 O(1) 时间复杂度内完成这两种操作?

示例:

LRUCache cache = new LRUCache( 2 /* 缓存容量 */ );cache.put(1, 1);cache.put(2, 2);cache.get(1);       // 返回  1cache.put(3, 3);    // 该操作会使得密钥 2 作废cache.get(2);       // 返回 -1 (未找到)cache.put(4, 4);    // 该操作会使得密钥 1 作废cache.get(1);       // 返回 -1 (未找到)cache.get(3);       // 返回  3cache.get(4);       // 返回  4

2. 答案

基础解法:数组 + 对象实现

类 vue keep-alive 实现

var LRUCache = function(capacity) {    this.keys = []    this.cache = Object.create(null)    this.capacity = capacity};LRUCache.prototype.get = function(key) {    if(this.cache[key]) {        // 调整位置        remove(this.keys, key)        this.keys.push(key)        return this.cache[key]    }    return -1};LRUCache.prototype.put = function(key, value) {    if(this.cache[key]) {        // 存在即更新        this.cache[key] = value        remove(this.keys, key)        this.keys.push(key)    } else {        // 不存在即加入        this.keys.push(key)        this.cache[key] = value        // 判断缓存是否已超过最大值        if(this.keys.length > this.capacity) {            removeCache(this.cache, this.keys, this.keys[0])        }    }};// 移除 keyfunction remove(arr, key) {    if (arr.length) {        const index = arr.indexOf(key)        if (index > -1) {            return arr.splice(index, 1)        }    }}// 移除缓存中 keyfunction removeCache(cache, keys, key) {    cache[key] = null    remove(keys, key)}

进阶:Map

利用 Map 既能保存键值对,并且能够记住键的原始插入顺序

var LRUCache = function(capacity) {    this.cache = new Map()    this.capacity = capacity}LRUCache.prototype.get = function(key) {    if (this.cache.has(key)) {        // 存在即更新        let temp = this.cache.get(key)        this.cache.delete(key)        this.cache.set(key, temp)        return temp    }    return -1}LRUCache.prototype.put = function(key, value) {    if (this.cache.has(key)) {        // 存在即更新(删除后加入)        this.cache.delete(key)    } else if (this.cache.size >= this.capacity) {        // 不存在即加入        // 缓存超过最大值,则移除最近没有使用的        this.cache.delete(this.cache.keys().next().value)    }    this.cache.set(key, value)}

3. 更多解答请看:leetcode146:设计和实现一个 LRU(最近最少使用)缓存机制 [18]

十、阿里算法题:编写一个函数计算多个数组的交集

1. 题目

**要求:**输出结果中的每个元素一定是唯一的

2. 答案

使用 reducer 函数

var intersection = function(...args) {    if (args.length === 0) {    return []  }  if (args.length === 1) {    return args[0]  }  return [...new Set(args.reduce((result, arg) => {    return result.filter(item => arg.includes(item))  }))]};

3. 更多解答请看:阿里算法题:编写一个函数计算多个数组的交集 [19]

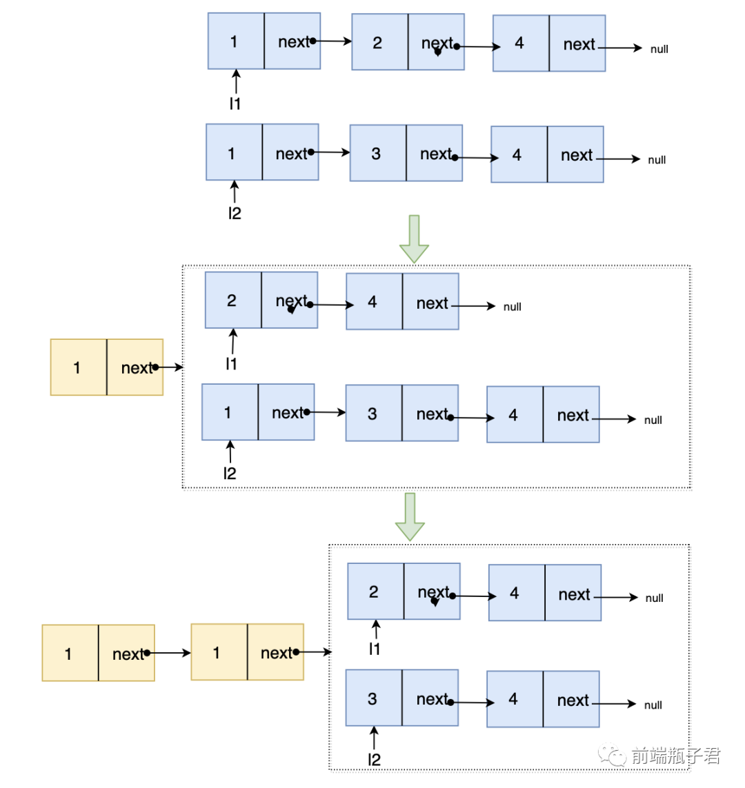
十一、leetcode21:合并两个有序链表

1. 题目

将两个升序链表合并为一个新的升序链表并返回。新链表是通过拼接给定的两个链表的所有节点组成的。

示例:

输入:1->2->4, 1->3->4输出:1->1->2->3->4->4

2. 答案

解答:

确定解题的数据结构: 单链表

确定解题思路: 从链表头开始比较,l1l2 是有序递增的,所以比较 l1.vall2.val 的较小值就是合并后链表的最小值,次小值就是小节点的 next.val 与大节点的 val 比较的较小值,依次递归,直到递归到 l1 l2 均为 null

画图实现: 画图帮助理解一下

确定边界条件: 当递归到任意链表为 null ,直接将 next 指向另外的链表即可,不需要继续递归了

代码实现:

function mergeTwoLists(l1, l2) {    if(l1 === null) {        return l2    }    if(l2 === null) {        return l1    }    if(l1.val <= l2.val) {        l1.next = mergeTwoLists(l1.next, l2)        return l1    } else {        l2.next = mergeTwoLists(l2.next, l1)        return l2    }}

3. 更多解答请看:leetcode21:合并两个有序链表 [20]

十二、有赞 & leetcode141:判断一个单链表是否有环

1. 题目

给定一个链表,判断链表中是否有环。

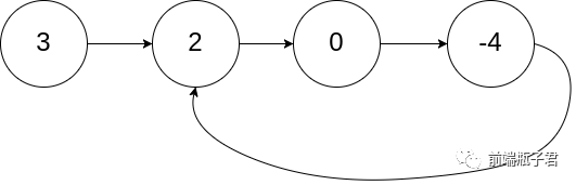
为了表示给定链表中的环,我们使用整数 pos 来表示链表尾连接到链表中的位置(索引从 0 开始)。如果 pos-1,则在该链表中没有环。

示例 1:

输入:head = [3,2,0,-4], pos = 1输出:true解释:链表中有一个环,其尾部连接到第二个节点。

示例 2:

输入:head = [1,2], pos = 0输出:true解释:链表中有一个环,其尾部连接到第一个节点。

示例 3:

输入:head = [1], pos = -1输出:false解释:链表中没有环。

进阶:

你能用 O(1)(即,常量)内存解决此问题吗?

2. 答案

解法一:标志法

给每个已遍历过的节点加标志位,遍历链表,当出现下一个节点已被标志时,则证明单链表有环

var hasCycle = function(head) {    while(head) {        if(head.flag) return true        head.flag = true        head = head.next    }    return false};

时间复杂度:O(n)

空间复杂度:O(n)

解法二:利用 JSON.stringify() 不能序列化含有循环引用的结构
var hasCycle = function(head) {    try{        JSON.stringify(head);        return false;    }    catch(err){        return true;    }};

时间复杂度:O(n)

空间复杂度:O(n)

解法三:快慢指针(双指针法)

设置快慢两个指针,遍历单链表,快指针一次走两步,慢指针一次走一步,如果单链表中存在环,则快慢指针终会指向同一个节点,否则直到快指针指向 null 时,快慢指针都不可能相遇

var hasCycle = function(head) {    if(!head || !head.next) {        return false    }    let fast = head.next.next, slow = head    while(fast !== slow) {        if(!fast || !fast.next) return false        fast = fast.next.next        slow = slow.next    }    return true};

时间复杂度:O(n)

空间复杂度:O(1)

3. 更多解答请看:有赞 & leetcode141:判断一个单链表是否有环 [21]

十三、图解 leetcode206:反转链表

1. 题目

示例:

输入: 1->2->3->4->5->NULL输出: 5->4->3->2->1->NULL

进阶: 你可以迭代或递归地反转链表。你能否用两种方法解决这道题?

2. 解答

解法一:迭代法

解题思路: 将单链表中的每个节点的后继指针指向它的前驱节点即可

画图实现: 画图帮助理解一下

确定边界条件: 当链表为 null 或链表中仅有一个节点时,不需要反转

代码实现:

var reverseList = function(head) {    if(!head || !head.next) return head    var prev = null, curr = head    while(curr) {        // 用于临时存储 curr 后继节点        var next = curr.next        // 反转 curr 的后继指针        curr.next = prev        // 变更prev、curr         // 待反转节点指向下一个节点         prev = curr        curr = next    }    head = prev    return head};

时间复杂度:O(n)

空间复杂度:O(1)

解法二:尾递归法

解题思路: 从头节点开始,递归反转它的每一个节点,直到 null ,思路和解法一类似

代码实现:

var reverseList = function(head) {    if(!head || !head.next) return head    head = reverse(null, head)    return head};var reverse = function(prev, curr) {    if(!curr) return prev    var next = curr.next    curr.next = prev    return reverse(curr, next)};

时间复杂度:O(n)

空间复杂度:O(n)

解法三:递归法

解题思路: 不断递归反转当前节点 head 的后继节点 next

画图实现: 画图帮助理解一下

代码实现:

var reverseList = function(head) {    if(!head || !head.next) return head    var next = head.next    // 递归反转    var reverseHead = reverseList(next)    // 变更指针    next.next = head    head.next = null    return reverseHead};

时间复杂度:O(n)

空间复杂度:O(n)

3. 更多解答请看:图解 leetcode206:反转链表 [22]

最后

欢迎关注「三分钟学前端」,回复「交流」自动加入前端三分钟进阶群,每日一道编程算法题(第二天解答),助力你成为更优秀的前端开发!

》》面试官也在看的前端面试资料《《

“在看和转发” 就是最大的支持