Skip to content

本文由 简悦 SimpRead 转码, 原文地址 mp.weixin.qq.com

本文作者为 360 奇舞团前端开发工程师

引言

在使用 css 样式进行样式的缩放、旋转等设置时,思考了一下它的较浅层的原理,恩,这个阶段都 是一些初高的数学计算,从新看这里的时候顺便捡了捡初高中的数学,比如三角函数之类。

通用公式

image.png

假设 A * B = Y。其中,A 为 m * n 的 m 行 n 列矩阵,B 为 1 * n 列的矩阵。B 拆分为列向量,并且列向量的维数就是矩阵的行数。

方法

transform(a, b, c, d, e, f) 与 Matrix 的转换。

image.png

推导出来

image.png

简化后

image.png

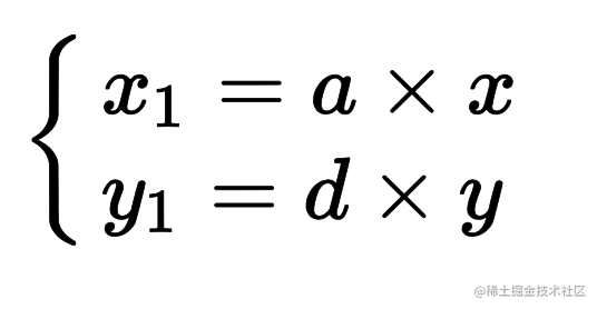
缩放

image.png

推导出来

image.png

.box {
  transform: scale(0.3, 0.6);
}

通过计算

image.png

等价于

.box {
  transform: matrix(0.3, 0, 0, 0.6, 0, 0);
}

image.png

平移

image.png

推导出来

image.png

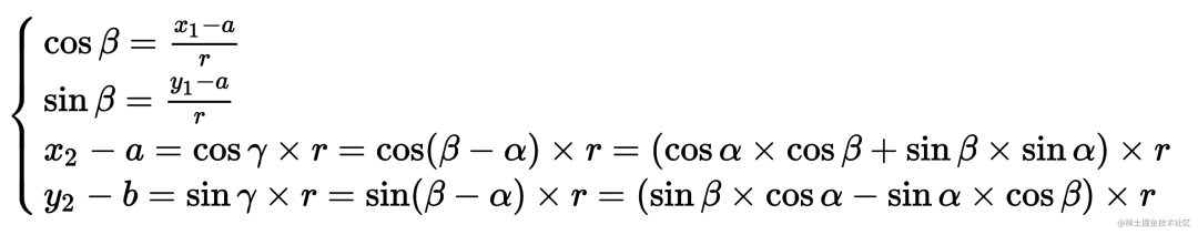
转旋

image.png

推导出来

image.png

假设存在点 E 移动至点 F。设 E 坐标为 (x1, y1),F 坐标为 (x2, y2),D 坐标为 (a, b)。

简要图示:

image.png

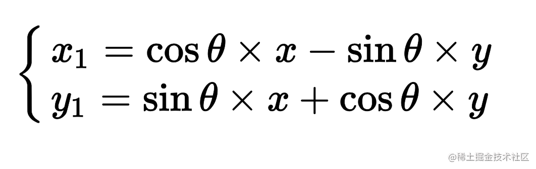
初中数学:

image.png

演算:

image.png

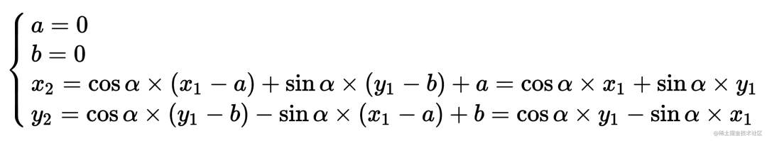
推导:

image.pngimage.png

验证:

image.png

转换为矩阵:

image.png

从 css 语法上开始转换

.box {
  transform: rotate(30deg);
}

这个旋转套用公式

image.png

等价于

.box {
  transform: matrix(0.86, 0.5, -0.5, 0.86, 0, 0);
}

image.png

复合

.box {
  transform: rotate(30deg) scale(0.3, 0.6);
}

复合需要进行矩阵乘法计算

image.png

等价于

.box {
  transform: matrix(0.258, 0.15, -0.3, 0.516, 0, 0);
}

最后,后续本文修正和更新,请参阅:'https://kangkk.cn/index.php / 计算机原理 / 仿射变换'

  • END -

关于奇舞团

奇舞团是 360 集团最大的大前端团队,代表集团参与 W3C 和 ECMA 会员(TC39)工作。奇舞团非常重视人才培养,有工程师、讲师、翻译官、业务接口人、团队 Leader 等多种发展方向供员工选择,并辅以提供相应的技术力、专业力、通用力、领导力等培训课程。奇舞团以开放和求贤的心态欢迎各种优秀人才关注和加入奇舞团。