Skip to content

本文由 简悦 SimpRead 转码, 原文地址 mp.weixin.qq.com

1 前言

说到数据可视化,大家应该都不陌生。它旨在借助于图形化手段,清晰有效的传达与沟通信息。广义的数据可视化涉及信息技术、自然科学、统计分析、图形学等多种学科。

图例来源网络

我们熟知的图形、图表以及地图等都属于数据可视化的范畴。今天我们主要讨论数据可视化中的图表,像柱状图、折线图、面积图、饼图、热力图都是使用频率非常高的图表。

图例来源网络

如果要在移动端绘制一个类似于下图,使用真实数据渲染的简单面积图表,我们应该如何实现它呢?相信大家脑子里应该都有各种方案了,那么接下来我们就来一步步实现它。

2 技术选型

需求

  • 图表样式定制化
    图表样式为我司设计师独立设计,最终实现效果应该做到 100% 还原设计细节;

  • 交互效果
    默认情况下数据游标只显示当前数据点,如需查看其他月份或者时刻数据,需要用户手动点击切换;

  • 曲线面积图
    最终需要绘制出一个面积图,也就是用真实数据绘制出的曲线与坐标轴相交而形成的一个区域;

明确了具体的需求之后,我们就可以考虑技术方案选型了。

2.1 图表库

目前业界有很多成熟的图表库,像我们熟知的 highcharts、echarts,Bizcharts,G2,更高阶的 three.js 等等。如果采用现有图表库来实现上述图表的话,会存在以下一些问题。

  • 无法 100% 还原图表样式

  • 包体积大,引入会造成项目性能问题

引入现有图表库的方案固然非常简单,大大节省了前端同学的开发量。但是存在着以上两个比较突出的问题。

图表库的图表样式都是通过配置完成,实现出来的效果在某些细节上难以完全还原设计稿,并且翻文档测试配置项的过程也比较繁琐。而且如果后续设计同学需要优化图表样式,并且此优化难以通过现有图表库配置项实现的话,那可能就需要二次开发图表库,对我们来说,也是一个不小的工作量;

通常 C 端的图表需求并不是那么通用,可能一个项目也就实现这么一两个图表,如果引入图表库的话,对项目本身来说,无形中又增加了一些打包成本。那有些同学可能会说,现在的某些图表库已经可以按需引用了,这样增加打包体积这个问题可能就不是问题了,虽然现在的某些比较成熟的图表库可以按需引用,但是在引用某个图表文件之前还是要引入一些核心文件,这些核心文件依然会占据不小的包体积。总结来说,引入现有图表库的方案成本高、灵活性差

2.2 canvas

canvas 相信对每一个前端开发者来说都不陌生,如果我们采用 canvas 来绘制图表的话,有两个问题比较棘手,上文中有提到过,我们要实现的图表是有交互效果的,当用户点击数据点的时候,则需要显示当前数据点的数据游标,再点击其他数据点的时候,数据游标也要相应的切换。大家都知道,使用原生 canvas 来实现事件系统异常麻烦,并且 canvas 的重绘机制也是我非常不喜欢的一点。总结一下,原生 canvas 没有完备的事件系统,重绘机制繁琐

当然,现在也有很多优秀的 canvas 框架能够解决上述问题,比如 fabric.js 和 konva.js,尤其是 fabric.js,让我们使用 canvas 不再别扭,感兴趣的同学也可以尝试一下。

2.3 svg

svg 是一种基于 XML 语法的图像格式,是可缩放的矢量图形。那什么是矢量图形呢?矢量图是计算机图形学中用点、直线或者多边形等基于数学方程的几何图元表示的图像,所以矢量图具有无论放大多少倍都不会失真的特性。而与之相对应的则是位图,位图是用像素阵列表示的图像。svg 在绘制图表上有天然的优势,

  • 开发成本低
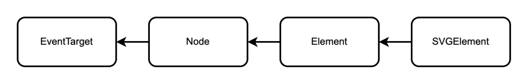
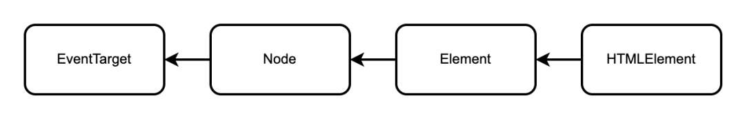
    svg 基于 XML 语法,XML 语法是一种类似于 HTML 语法的可扩展标记语言,也就是说 svg 是使用一系列的元素 (line、circle,polygon 等) 来描述图形的。那 svg 元素和 dom 元素之间是不是存在着某种关联呢?

    我们由元素间的继承关系可以得出的结论是:svg 元素和 dom 元素基本相似,因此对于 svg 元素,完全可以从 dom 元素的角度去理解和应用,上手成本几乎就可以忽略不计了。并且 svg 和 css,javascript 等其他网络标准无缝衔接。本质上,svg 相对于图像,就好比 html 相对于文本

  • 完备的事件系统
    由于 svg 元素与 dom 元素类似,因此 dom 元素中的事件系统对于 svg 同样适用;

  • 文件体积小,兼容性好
    前文已经介绍过,svg 绘制出来的是一种矢量图形,而矢量图形都是使用点、直线等几何图元构成的图形,是对图像的图形描述,本质上依然是文本文件,所以它具有体积小的天然优势。

    svg 是由万维网联盟(W3C)自 1999 年开始开发的开放标准。兼容性方面几乎所有主流浏览器都支持。

因此,最终我选择了使用 svg 来绘制图表。

3 svg 基础

在我们正式绘制图表之前,首先需要了解一些 svg 的基础知识。

3.1 svg 元素

svg 图像就是使用不同的 svg 元素来创建的,svg 元素常用的主要分为动画元素,形状元素,字体元素,图形元素,文本元素等。

  • 形状元素
    <circle>, <ellipse>, <line>, <mesh>, <path>, <polygon>, <polyline>, <rect>
    形状元素是绘制 svg 图像最常用的,path 元素是 svg 中一个非常强大的元素,它类似于 canvas 中的 path,利用它能够绘制出任何你想要的图形。在我们本次绘制图表过程中,path 元素亦不可或缺;

  • 动画元素
    <animate>,<animateColor>,<animateMotion>,<animateTransform>,<discard>,<mpath>,<set>
    想要给 svg 元素添加动画,最简单的方式是使用动画元素,即用动画元素包裹住 svg 图形,即可添加动画;

其他元素就不再赘述。

3.2 svg 应用场景

  • iconfont 图标库和字体库
    iconfont 图标库应该是 svg 最常见的一个使用场景,svg 矢量图、文件小的特性使得它非常适合来绘制小图标,像我们转转的图标库也是使用 svg 来绘制的。svg 绘制图标也有一些小小的缺点,比如它只能绘制纯色或者 css 渐变色图标,从颜色方面来说没有图片色系丰富,层次分明。

  • 业务动画
    我们业务中一些常用的动画场景也会使用 svg 实现,比如 loading 效果圆环进度条商品添加购物车特效等;像商品添加购物车的特效在电商网站是非常常见的,一般我们的实现思路是使用 js+css 动画实现;其实 svg 中的路径动画更适用于这个场景,我们可以在需要加购的商品和购物车之间绘制一条隐形的 path,当用户触发加购操作的时候触发路径动画,即 animateMotion,这样也可以实现同样的功能。

4 svg 如何绘制图表?

通过以上对背景以及一些前置知识的介绍,相信大家已经对 svg 有了一个初步的了解,接下来我们就回到最初的问题,如何通过 svg 来从头开始绘制一个曲线面积图?我主要分了以下几个步骤,下文会对每个步骤逐一进行说明。

4.1 坐标系

计算机绘图使用的坐标系统都是网格坐标系。其以左上角作为坐标系的原点,X 轴正方形向右逐渐开始增大,Y 轴正方向向下逐渐开始增大。

图例来源于网络

了解了 svg 的坐标系之后,我们来绘制曲线面积图中的坐标系,坐标系其实就是由两条线相交而成,svg 中的 line 元素就是用来绘制直线的,所以使用 line 元素就可以绘制出 X 轴和 Y 轴。需要注意的是 svg 的坐标系原点在左上角,而我们需要实现的图表中坐标系原点在左下角,所以在实现的时候要对 y 轴的实际坐标进行处理。

createCoordinate() {      this.svg.createLine(        [          {            x1: '0',            y1: '0',            x2: '0',            // ui设计稿上y轴高度为205,由于顶部游标的存在(游标高度57,宽度122),所以y轴变为205+57;            // 由于整个坐标轴往下平移了57,所以最下面的坐标会出现不显示的情况,故再增加50的buffer            y2: `${this.$toRealPx(262 + 50)}px`,            stroke: '#F0F0F0',            'stroke-width': '1',          },          {            x1: '0',            y1: `${this.$toRealPx(262 + 50)}px`,            x2: `${this.$toRealPx(595)}px`,            y2: `${this.$toRealPx(262 + 50)}px`,            stroke: '#F0F0F0',            'stroke-width': '1',          },        ],        this.svgObj      )    }

4.2 网格

在我们需要实现的两个图表中,图表背景处均有网格,网格的实现原理也是使用 line 元素,只要标记好起点以及终点,就可以完美绘制。此处不再展开。

4.3 数据点和数据游标

数据点:即用来标记当前数据位置的小原点,数据点有两种状态,分别是未点击态和点击态,实现数据点我们使用 svg 中的 circle 元素即可。当数据点被点击时,我们只需要更改 circle 元素的填充属性。

const circlePoints = this.graphAxisData.map((v, idx) => {        return {          cx: v.xAxis,          cy: v.yAxis || 0,          r: this.$toRealPx(5),          stroke: '#7792D8',          'stroke-width': this.$toRealPx(3),          fill: 'white',          title: `class${idx + 1}`,          imageIndex: `imageClass${idx + 1}`,        }      })

数据游标:数据游标在我们的图表里是一个不规则图形,其有点类似于会话气泡。我们要实现数据游标有两种方式,第一种方式是使用 svg 的 path 元素来绘制,那 path 元素的参数具体应该怎么设置呢?其实可以跟设计师同学沟通,一般设计同学在用设计软件导出的时候,设计软件会携带 path 元素的具体参数,这是方案一;还有第二种比较简单的方案是利用 svg 中的 image 元素,也就是将数据游标当作一个图片绘制到图表中,这种方案比较简单省事,我采用的也是此方案。

const circleImage = this.graphAxisData.map((v, idx) => {        return {          x: (v.xAxis - this.$toRealPx(122) / 2),          y: (v.yAxis - this.$toRealPx(52) - this.$toRealPx(8)) || 0,          height: this.$toRealPx(52),          width: this.$toRealPx(122),          id: `imageClass${idx + 1}`,          href: 'https://pic3.zhuanstatic.com/zhuanzh/b13744dd-c240-4961-8054-9f923586ea5a.png',        }      })      const circleText = this.graphAxisData.map((v, idx) => {        return {          x: v.xAxis,          y: (v.yAxis - this.$toRealPx(52 / 2)) || 0,          fill: '#111111',          'font-size': this.$toRealPx(24),          'text-anchor': 'middle',          title: `¥${v.oriYAxis}`,          id: `class${idx + 1}`,        }      })

4.4 曲线

接下来就要绘制图表中最重要的一个部分,也就是用真实数据渲染出来的一条曲线,绘制曲线我们依然是利用 path 元素绘制贝塞尔曲线,贝塞尔曲线只需要少量的点就可以绘制一条光滑曲线。在 svg 中,path 元素用来绘制贝塞尔曲线的命令有两组,第一组是 C,S 命令,用来绘制三次贝塞尔曲线;第二组是 Q,T 命令,用来绘制二次贝塞尔曲线。

我绘制图表使用的是三次贝塞尔曲线,那首先了解一下三次贝塞尔曲线。

其中,t 代表斜率,取值为 0-1;p0 代表起始点坐标 (x0,y0);p1 代表第一个控制点坐标(x1,y1);p2 代表第二个控制点坐标(x2,y2);p3 代表终点坐标(x3,y3);pt 代表这条曲线上的任意一个点坐标(xt,yt)。当 t 由 0-1 逐渐变化的时候,可以得到一系列的(xt,yt), 这一系列(xt,yt) 就组成了一条三次贝塞尔曲线,这就是三次贝塞尔曲线的定义。

通过以上介绍可知,绘制三次贝塞尔曲线必须得知道起始点、两个控制点以及终点。后端会返回给我们相应的几个数据点,也就是说这几个数据点的坐标是已知的,现在的问题就成了给定一组已知数据点,如何拟合成一条曲线?其实思路很简单,假如说有已知的 5 个点,那么我们将第一个点作为起始点,第二个点作为终点,计算出他们之间的控制点,绘制一条曲线,同样的,又以第二个点作为起点,第三个点作为终点,再重复以上过程,最终即绘制出一条横穿五个点的平滑曲线。

此处附上算法源码

createBezierLine() {      const polygonPath = this.getCubicBezierCurvePath(        this.graphAxisData.map((v) => {          return {            x: v.xAxis,            y: v.yAxis,          }        })      )      this.svg.createPath(        {          d: polygonPath,          fill: 'none',          stroke: '#7792D8',          'stroke-width': 2        },        this.svgObject      )    }    getCubicBezierCurvePath(knots) {      const firstControlPoints = []      const secondControlPoints = []      const path = []      this.getCubicBezierCurvePoints(knots, firstControlPoints, secondControlPoints)      for (let i = 0, len = knots.length; i < len; i++) {        if (i === 0) {          path.push(['M', knots[i].x, knots[i].y].join(' '))        } else {          const firstControlPoint = firstControlPoints[i - 1]          const secondControlPoint = secondControlPoints[i - 1]          path.push(            [              'C',              firstControlPoint.x,              firstControlPoint.y, // 第一个控制点              secondControlPoint.x,              secondControlPoint.y, // 第二个控制点              knots[i].x,              knots[i].y, // 实点            ].join(' ')          )        }      }      return path.join(' ')    }    getCubicBezierCurvePoints(knots, firstControlPoints, secondControlPoints) {      const rhs = []      const n = knots.length - 1      let x = 0      let y = 0      let i = 0      if (n < 1) {        return      }      // Set right hand side X values0      for (i = 0; i < n - 1; ++i) {        rhs[i] = 4 * knots[i].x + 2 * knots[i + 1].x      }      rhs[0] = knots[0].x + 2 * knots[1].x      rhs[n - 1] = 3 * knots[n - 1].x      // Get first control points X-values      x = this.getFirstControlPoints(rhs)      // Set right hand side Y values      for (i = 1; i < n - 1; ++i) {        rhs[i] = 4 * knots[i].y + 2 * knots[i + 1].y      }      rhs[0] = knots[0].y + 2 * knots[1].y      rhs[n - 1] = 3 * knots[n - 1].y      // Get first control points Y-values      y = this.getFirstControlPoints(rhs)      for (i = 0; i < n; ++i) {        // First control point        firstControlPoints[i] = {          x: x[i],          y: y[i],        }        // Second control point        if (i < n - 1) {          secondControlPoints[i] = {            x: 2 * knots[i + 1].x - x[i + 1],            y: 2 * knots[i + 1].y - y[i + 1],          }        } else {          secondControlPoints[i] = {            x: (knots[n].x + x[n - 1]) / 2,            y: (knots[n].y + y[n - 1]) / 2,          }        }      }    }    getFirstControlPoints(rhs) {      const n = rhs.length      const x = [] // Solution vector.      const tmp = [] // Temp workspace.      let b = 2.0      let i = 0      x[0] = rhs[0] / b      for (i = 1; i < n; i++) {        // Decomposition and forward substitution.        tmp[i] = 1 / b        b = (i < n - 1 ? 4.0 : 2.0) - tmp[i]        x[i] = (rhs[i] - x[i - 1]) / b      }      for (i = 1; i < n; i++) {        x[n - i - 1] -= tmp[n - i] * x[n - i] // Backsubstitution.      }      return x    }

4.5 面积

最后一步就是绘制曲线与 X 轴和 Y 轴相交而形成的面积部分。假如说这条曲线不是一条曲线而是一条折线的话,那么其实很容易就能实现。我们将这条折线与 X 轴和 Y 轴连接起来形成一个闭合图形 polygon,然后通过给 polygon 进行填充即可得到折线的面积图。

我们利用这个思路,如果一条折线上的点足够多的话,那么这条折线就会无限趋近于一条曲线。反之,一条曲线也可以看成是无限多的点构成的折线,所以我们利用 svg 中的 getTotalLength() 和 getPointAtLength() 这两个方法就可以将 path 转换为多边形,最后再填充多边形即可得到最终的面积图。

5 结语

通过以上 5 个步骤,我们就能够基于 svg 从头开始实现一个简单的曲线面积图。svg 的使用场景还是非常丰富的,并且兼容性一直都不错,如果需要实现这种相对不那么复杂且交互少的图形,svg 还是一个不错的方案。如果要实现复杂图层、复杂动效以及复杂交互,canvas 框架可能会是一个更好的选择。

最后,开年第一篇,祝大家新年快乐,2023 突(兔)飞猛进,大展鸿图(兔),前途(兔)无量!

参考

https://www.infoq.cn/article/ogwddr4u8x0s*5aaytsh https://gist.github.com/mingzhi22/be3324ffd9765687ea2f

想了解更多转转公司的业务实践,点击关注下方的公众号吧!