Skip to content

本文由 简悦 SimpRead 转码, 原文地址 mp.weixin.qq.com

前言

分形是一门以非规则几何形态为研究对象的几何学,由曼德勃 罗(B.B.Mandelbrot)等人创立并命名。

分形图从整体上看,是处处不规律的。但从局部观察,图形的规则性又是相同的,即具有自相似的性质。

通常意义下,分形被定义为将一个确定的几何形状(元图像)在其边上迭代地生成为)与元图像近似地的形状。这次想用 canvas 画出典型的几个分形图。

基础数学篇

在画分形图之前我们需要首先明确 Canvas 的数学体系,才能利用好这个工具完成分型图的绘制。

众所周知,Canvas 采用的坐标系默认是以画布左上角为坐标原点,x 轴向右,y 轴向下。画布的大小决定了坐标系 x、y 轴的最大值。

假设,我们要在宽 300 * 高 300 的一个 Canvas 画布上实现一个六角形。其中,六角形的边长是 50。试想应该怎么做。

观察六角形的基本形状,找到 12 条边的规律是:相邻两条边为一组,第 1 条边画完后逆时针转 60 度,画完相同长度的第 2 条边,随后顺时针转 120 度,这样重复执行 6 次后,一个基础的六角形就画出来了。

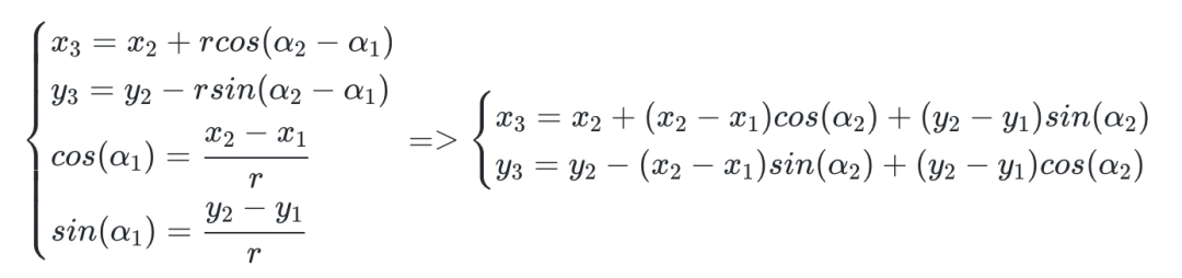
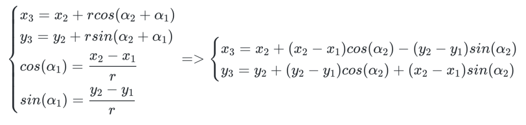
假设路径是从 P1 点画到 P2,再到 P3、P4。已知 P1、P2 的坐标,那么我们还需要找到 P3、P4 的坐标是多少。这是一个简单的根据坐标与角度找下一个坐标的数学问题,我们可以通过简单的顶点换算将其绘制出来。

旋转与坐标点映射

先简单复习一下数学知识。已知 P1、P2 的坐标,P2P1 的长度为 r,将向量 P1P2 顺时针旋转 α2 角度后,计算 P3 的坐标值。同理可以得到逆时针旋转的计算公式。由以上推导同样可以得到旋转矩阵如下。

顺时针
[cosβ−sinβsinβcosβ]
逆时针
[cosβsinβ−sinβcosβ]

代码实现

  1. 绘制六角形。首先从第一个点P1\(0,50\)、P2\(50,50\)开始画,核心模块放入hexagon方法中,迭代6次。
var ctx = canvas.getContext("2d");
      ctx.strikeStyle = "#000";
      ctx.beginPath();
      const y = 50;
      ctx.moveTo(0, y);
      hexagon(ctx, 0, y, 50, y, 0, 6);
  1. hexagon 方法的输入参数有 (ctx, x1, y1, x2, y2, n, m)。

function hexagon(ctx, x1, y1, x2, y2, n, m) {    ctx.clearRect(0, 0, 300, 300);    // 顺时针 60度    ctx.moveTo(x2, y2);    const x3 = x2 +      (x2 - x1) * Math.cos(Math.PI / 3) +      (y2 - y1) * Math.sin(Math.PI / 3);    const y3 = y2 -      (x2 - x1) * Math.sin(Math.PI / 3) +      (y2 - y1) * Math.cos(Math.PI / 3);    ctx.lineTo(x3, y3);    // 逆时针 120度    const x4 = x3 +      (x3 - x2) * Math.cos((Math.PI * 2) / 3) -      (y3 - y2) * Math.sin((Math.PI * 2) / 3);    const y4 = y3 +      (y3 - y2) * Math.cos((Math.PI * 2) / 3) +      (x3 - x2) * Math.sin((Math.PI * 2) / 3);    ctx.lineTo(x4, y4);    ctx.stroke();    n++;    if (n === m) {      return false;    } else {      hexagon(ctx, x3, y3, x4, y4, n, m);    }  }

向量运算

从以上流程可以看出,通过坐标进行点的绘制是非常麻烦并且费时间的,加上 Canvas 2D 的坐标与常规数据坐标系上下颠倒,我们会花费大量时间在坐标点的计算上。

因此,为了代码的逻辑简单、易读,我们可以转变思路,将坐标点以向量的方式来理解。复习一下常用的向量运算有以下几种。

向量相加 / 减向量点乘、叉乘。如图 1 所示,向量相加的含义是,路径沿 v1、v2 进行绘画,则 P2 坐标点为 v1 与 v2 两个向量相加,为 [x1+x2, y1+y2]。点乘为 a、b 向量点积的几何含义,是 a 向量乘以 b 向量在 a 向量上的投影分量,如图 2 所示。叉乘为两向量组成的面积,如图 3 所示。

代码实现

用形如 [x,y] 的数组方式描述向量。

class Vector extends Array {  constructor(x = 1, y = 0) {    super(x, y);  }  copy() {    return new Vector(this.x, this.y);  } }

向量相加减。

add(v) {    this.x += v.x;    this.y += v.y;    return this;  }  sub(v) {    this.x -= v.x;    this.y -= v.y;    return this;  }

向量叉乘点乘。

cross(v) {    return this.x * v.y - v.x * this.y;  }  dot(v) {    return this.x * v.x + v.y * this.y;  }

向量旋转。

rotate(rad) {    const c = Math.cos(rad),      s = Math.sin(rad);    const [x, y] = this;    this.x = x * c + y * -s;    this.y = x * s + y * c;    return this;  }

按照向量运算,画出一个六角雪花的代码可以改写成以下方式。首先将 canvas 坐标系进行上下翻转,形成我们习惯的坐标方式。

var ctx = canvas.getContext("2d");

 ctx.translate(0, canvas.height);

 ctx.scale(1, -1);

得到 v0、v1 的向量,进行逆时针和顺时针的旋转,得到的效果与之前的方式一致,但代码的可读性却增加了很多。

const v0 = new Vector(0, 250);const v1 = new Vector(50, 250);hexagon(ctx, v0, v1, 0, 6);function hexagon(ctx, v0, v1, n, m) {    const v2 = v1.copy().sub(v0);    v2.rotate((60 * Math.PI) / 180).add(v1); // 逆时针 60度    const v3 = v2.copy().sub(v1);    v3.rotate((-120 * Math.PI) / 180).add(v2); // 顺时针 120度    ctx.beginPath();    ctx.moveTo(...v1);    ctx.lineTo(...v2);    ctx.lineTo(...v3);    ctx.stroke();    n++;    if (n === m) {      return false;    } else {      hexagon(ctx, v2, v3, n, m);    }}

实践篇

分形图的逻辑规律是递归与基础图形的结合,在实践篇中我们选择几个典型分形图进行实现。

科赫雪花

科赫雪花最早由数学家 Helge von Koch 提出,是分形几何中经典图像之一。它的生成基于科赫曲线,即单边的无限分形。

先看一下实现效果,它的基础图形是等边三角形。该图片的面积有限,但周长是无限的。每次迭代,线段的长度都会增加原长度的三分之一。

思路

  1. 科赫雪花由科赫曲线组成,它最基本的形状是一个三角形,将三角形的每条边等分成 3 份,中间那份线段先右转 60 度之后画出边长一样的线段后,再向左旋转 120 度画出等长。

  2. 在递归的模块里递归执行步骤 1,直到达到设置的递归层级。

图 4 图 5

代码实现

首先还是坐标变换,将坐标原点从左上角移动到左下角,并且让 y 轴翻转为向上。

var ctx = canvas.getContext("2d");

      ctx.translate(0, canvas.height);

      ctx.scale(1, -1);

然后我们找到三角形的三个顶点,假设我们从 v1(100,100) 出发,三角形边长为 100,则通过向量变换可以获取其余两个顶点 v2、v3 向量。

var ctx = canvas.getContext("2d");

      const v1 = new Vector(100, 100);

      const v2 = new Vector(100, 0).add(v1);

      const v3 = new Vector(100, 0).rotate((60 * Math.PI) / 180).add(v1);

接着我们根据对三条边,也就是 v1v2、v2v3、v3v2 三向量分别进行递归操作。

koch(ctx, v1, v2, 0, deep);

      koch(ctx, v2, v3, 0, deep);

      koch(ctx, v3, v1, 0, deep);

我们定义一个递归的核心模块:function koch(ctx, v1, v2, n, m) {}

该函数有五个参数:ctx 是 Canvas2D 上下文。v1 是一条边的起始向量,v2 是终止向量,n 为当前迭代层级,m 为总共迭代次数。在模块中我们根据图 5 中描述,将一条边划分成四段,每段长度相同。得到 v3、v4、v5。终止条件为迭代层级与规定好的次数相同,这时将 v1~v5 的折线路径连接起来。这样就形成了一个科赫雪花。代码如下。

function koch(ctx, v1, v2, n, m) {

    ctx.clearRect(0, 0, 300, 300); //每次绘图前清除画板

    const oneThirdVector = v2
      .copy()
      .sub(v1)
      .scale(1 / 3);

    const v3 = oneThirdVector.copy().add(v1);

    const v4 = oneThirdVector.copy().scale(2).add(v1);

    const v5 = v4
      .copy()
      .sub(v3)
      .rotate((-60 * Math.PI) / 180)
      .add(v3);

    n++;

    if (n === m) {

      //绘图(连线) 当前层级与设定层级一致时候停止递归

      ctx.moveTo(...v1);

      ctx.lineTo(...v3);

      ctx.lineTo(...v5);

      ctx.lineTo(...v4);

      ctx.lineTo(...v2);

      ctx.stroke();

      return false;

    }

    //递归调用绘图

    koch(ctx, v1, v3, n, m);

    koch(ctx, v3, v5, n, m);

    koch(ctx, v5, v4, n, m);

    koch(ctx, v4, v2, n, m);

  }

六角形雪花

先看一下实现效果,它的基础图形是六角形。每迭代一次,都以每条线段的 1/3 作为边长,在每个角顶点处再画出下一个小六角形。重复这个步骤便可以得到一个六角形雪花分型图。

思路

  1. 首先根据基础篇中提到的六角形雪花的生成规律,每相邻两条边为一组,第 1 条边左转 60 度,第 2 条边右转 120 度,执行 6 次即可得到基础形状六角形。

  2. 在开始画线之前判断该次的边长是否小于规定的最小边长。如果不小于则将边长变为原变成的 1/3,进行递归调用,若小于则开始绘制六角形。

代码实现

坐标变化和获取 canvas 2D 的上下文这里就不再累述。首先,我们从 v0、v1 出发进行画六边形的主函数中。

const v0 = new Vector(50, 200);

const v1 = new Vector(100, 200);

hexagon(ctx, v0, v1);

我们定义一个递归的核心模块:function hexagon(ctx, v0, v1) {}

该函数有五个参数:ctx 是 Canvas2D 上下文。v0v1 是开始作画的起始向量,也就是给我们的作画一个开始的方向。hexagon 中,我们计算出本次迭代的六角形边长hexagonLen,当不满足终止条件时候进行迭代。

function hexagon(ctx, v0, v1) {    const hexagonLen = v1.copy().sub(v0).vlength;    if (hexagonLen > minLine) {    // 进入迭代    }  }

这里我们将六角形分为 6 次循环。每次循环都是从 vstart 到 vmiddle,再到 vend。

// 迭代中 hexagon(ctx, v0, v1)let vstart = v1.copy();let vmiddle = v1.copy().sub(v0);let vend = new Vector();for (let i = 0; i < 6; i++) {// 六角形的6次循环}

在循环体中,我们先获取该次迭代中 vstart、vmiddle、vend 的向量,以及下一次的边长。如果新的边长大于设置的最小边长minLine,则进行下一次的迭代,否则,便沿着这三个向量进行绘制。绘制完后,更新 vstart、vmiddle。

// 向量旋转  vmiddle.rotate((60 * Math.PI) / 180).add(vstart);  vend = vmiddle.copy().sub(vstart);  vend.rotate((-120 * Math.PI) / 180).add(vmiddle);  const thirdv = vend          .copy()          .sub(vmiddle)          .scale(1 / 3)          .add(vmiddle);  const newHexagonLen = thirdv.copy().sub(vmiddle).vlength;  if (newHexagonLen > minLine) {  // 递归      hexagon(ctx, vmiddle, thirdv);  } else {  // 绘图      ctx.beginPath();      ctx.moveTo(...vstart);      ctx.lineTo(...vmiddle);      ctx.lineTo(...vend);     ctx.stroke();  }  vstart = vend.copy();  vmiddle = vend.copy().sub(vmiddle);

这样,我们就实现了绘制六角雪花的方法。

二叉树

实现一颗二叉树要比前面的科赫雪花和六角形雪花简单的多。

思路

  1. 首先我们只需要知道初始状态时的起点以及树干的长度。

  2. 在递归模块中,我们将树枝长度与宽度都削减为上一级树枝的 1/2。并且进行固定角度的左右偏移。终止条件为树枝的长度小于规定好的最小长度。这样就可以画出一颗二叉树了。

代码实现

这里就不讲解代码了,有兴趣的同学可以点击这里进行代码访问。

总结

在绘制分形图的过程中,我们复习了以下几个知识点,首先,在 Canvas 中我们可以通过坐标系变换来满足实际需求,对坐标进行合理的变化可以让我们的绘图逻辑变得简单易懂。其次,向量在可视化中是非常方便且基础的工具,掌握和学会用向量的思维计算是学习可视化的必经之路。最后,分形图大多数都是元图像加迭代的方式,练习分形图的绘制也有助于我们掌握各式各样的递归操作,以及总结出此类图形的逻辑方法。

参考文献

  1. canvas 生成科赫雪花(曲线)

  2. GitHub - akira-cn/graphics: 一些图形系统相关的小例子

  3. 二维旋转矩阵与向量旋转

  4. 代码:canvas fenxing - CodeSandbox

    参考资料

    [1]

    这里: _https://codesandbox.io/s/canvas-tree-hhjoh?file=/src/components/Tree.jsx_

    [2]

    canvas 生成科赫雪花(曲线): _https://garychang.cn/2017/01/06/koch/_

    [3]

    GitHub - akira-cn/graphics: 一些图形系统相关的小例子: _https://github.com/akira-cn/graphics_

    [4]

    二维旋转矩阵与向量旋转: _https://zhuanlan.zhihu.com/p/98007510_

    [5]

    canvas fenxing - CodeSandbox: _https://codesandbox.io/s/canvas-fenxing-hhjoh_